科学前沿:关于ddcfDNA,ATC会议都讨论了什么?(一)

——

2020年受新冠疫情影响,原定于5月30日~6月3日在费城举行的美国器官移植学年会(ATC),今年首次以线上会议的形式为全球移植专家呈现该领域最前沿的研究进展。会议内容覆盖多个热点话题及临床重难点,其中移植液体活检方向共呈现了来自51个器官移植中心的33篇相关研究报道


从近3年ATC的研究内容来看,器官移植液体活检(供体来源游离DNA,ddcfDNA)已成为当前研究热点。来自北美器官移植中心的相关研究高达51篇(18--20年),占比77%,其中位于洛杉矶的西达赛奈医疗中心(Cedars-Sinai medical center)的研究数量最多(14篇)。


本次年会,关于ddcfDNA的研究有哪些看点?小编将分三期为大家详细介绍,先看本期的精选摘要。



01

Zhang H, Nast CC, Huang E, Ammerman N, Vo AA, Jordan SC, Toyoda M. Donor Derived Cell Free DNA (dd-cfDNA) and Gene Expression Signatures of Antibody-Mediated Rejection (ABMR) May Improve Accuracy of ABMR Diagnosis (Dx) [abstract]. Am J Transplant. 2020; 20 (suppl 3).


来自Cedars-Sinai Medical Center等移植中心的研究显示,ddcfDNA对于早期诊断抗体介导性排斥(ABMR)具有重要的临床意义。本研究联合ddcfDNA检测及ABMR相关基因(KLRF1,SH2D1B,CCL3和CCL4)的表达评分(GS),以探讨是否可以提高诊断ABMR的准确性。

结果显示,ddcfDNA与GS在诊断ABMR时均具有较好的表现20例穿刺确诊的活动性ABMR和慢性活动性ABMR的患者中,其中19例ddcfDNA>1%,17例GS>0.43,两者均符合的共16例。GS检测值对抗ABMR的治疗更敏感。另外联合GS和ddcfDNA可早期预测ABMR的发生(之前穿刺活检阴性或单独细胞介导的排斥反应)。



02

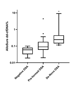
DePasquale E, Kobashigawa J, Pinney S, Khush K. dd-cfDNA as a Risk Factor for Initiating De-Novo Donor Specific Antibodies in Heart Transplantation [abstract]. Am J Transplant. 2020; 20 (suppl 3).


在肾移植和肺移植研究中,已经显示在de-novo DSA产生之前,受者体内的ddcfDNA含量已经增加。来自Keck Hospital of USC等的研究旨在了解心脏移植术后ddcfDNA是否与de-novo DSA的产生有关。


本研究共入组67位心脏移植患者,284份样本(排除了发生排斥的样本)。结果显示DSA阴性的患者体内ddcfDNA的含量显著低于DSA阳性的患者(P<0.001),而含有de-novo DSA的患者体内ddcfDNA的含量高于预存DSA的患者(P=0.001)。说明de-novo DSA的产生与ddcfDNA具有相关性,但是此现象的分子机制和相关的临床意义还需要进一步研究,因为不是所有的DSA都与不良预后相关。


03

Waide M, Carmody J, Restaino IG. Donor-Derived Cell-Free DNA (dd-cfDNA) Levels in Stable Pediatric Kidney Transplant Recipients [abstract]. Am J Transplant. 2020; 20 (suppl 3).


在成人肾移植患者中,ddcfDNA已被证实是诊断排斥的高度敏感的生物标记物,且在临床上被广泛应用。然而在儿童肾移植排斥诊断方面,ddcfDNA的研究数据还比较缺乏。来自Eastern Virginia Medical School的儿科肾移植专家研究了儿童肾移植患者体内ddcfDNA含量的变化。


本研究入组了26位儿童肾移植患者,这些患者均处在稳定状态,无排斥反应的发生。检测结果显示ddcfDNA的中位数是0.2%(IQR 0.12-0.32%),变异系数与之前报道的成人肾移植患者相同。若需确定ddcfDNA在儿童肾移植患者排斥的阈值(cut-off value),还需入组到阳性患者。



04

Guo L, Wang R, Lv J, Shen J, Wu J, Chen J. Prognostic Value of Dd-cfDNA Assay in Acute Renal Rejection Therapy: A Prospective Cohort Study [abstract]. Am J Transplant. 2020; 20 (suppl 3).


ddcfDNA是否可用于检测排斥反应的治疗效果尚不明确,浙大附一院的肾脏病中心入组了28例发生急性排斥反应的患者,检测了排斥治疗前后血液ddcfDNA的含量变化。结果显示患者血液ddcfDNA的含量由2.566±0.549%下降到0.773±0.116% (P < 0.001)。说明ddcfDNA可用于检测排斥的治疗效果评估,另外甲强龙的使用影响ddcfDNA的含量。



05

Stites E, Kumar D, Olaitan O, Gupta G. Utility of dd-cfDNA in TCMR 1A and Borderline Allograft Rejection [abstract]. Am J Transplant. 2020; 20 (suppl 3).


血液ddcfDNA对于早期诊断T细胞介导的排斥反应(TCMR)的价值尚不明确。


来自University of Colorado等的研究对2017年6月至2019年5月,11个移植中心的79例穿刺活检确诊为TCMR IA或临界排斥(Banff 2017)的患者进行了ddcfDNA检测。按dd-cfDNA>0.5%和<0.5%进行分层。ddcfDNA>0.5%的患者与不良预后相关(GFR,p=0.0040和de novo DSA, p<0.0001),与将来发生排斥反应或出现持续性排斥反应也相关(p=0.0028)。基于这些结果,ddcfDNA可反映出更完整的排斥异质性表现,以及为发生损伤的风险提供更有价值的临床参考信息,从而更好的了解移植肾的预后情况。


下期,小编将继续和大家一起关注ATC上ddcfDNA在移植领域的研究进展。